romanzolotarev.com is a Fediverse instance that uses the ActivityPub protocol. In other words, users at this host can communicate with people that use software like Mastodon, Pleroma, Friendica, etc. all around the world.

This server runs the snac software and there is no automatic sign-up process.

Site description
/pub
Admin account
@hi@romanzolotarev.com

Search results for tag #uxn

Chloe :> boosted

[?]winduptoy » 🌐
@winduptoy@merveilles.town

Mom is retiring. Says she wants to learn to program. here we come! All mainstream platforms suck!

    [?]TangentDelta » 🌐
    @TangentDelta@mastodon.social

    First signs of life from my Socket device for Cucumber!

    I wanted to keep things feeling the same as the existing devices, so Socket is more or less a clone of the File devices, minus some ports (like stat, delete, and append).

      [?]lights [she/her/they/them] » 🌐
      @sporeball@merveilles.town

      drew yesterday's wordmark in in ~350 bytes (40% savings over bitmap) by indexing into the 22 sprites it can be reduced to.
      also used a "door" correctly for the first time while doing this (before ultimately removing it to save bytes ^^")

      paste.sr.ht/~sporeball/c7e285c

      A screenshot of a terminal being used to run two commands. The first command outputs a portion of the code stored in a Uxntal file named falsegood.tal. The second command compiles that code into a ROM file named falsegood.rom, then runs it in a Uxn emulator, displaying a wordmark, "Falsegood"

      Alt...A screenshot of a terminal being used to run two commands. The first command outputs a portion of the code stored in a Uxntal file named falsegood.tal. The second command compiles that code into a ROM file named falsegood.rom, then runs it in a Uxn emulator, displaying a wordmark, "Falsegood"

        [?]notchoc » 🌐
        @notchoc@app.wafrn.net

        @neauoire@merveilles.town

        shorter string printing routine ^^ shaved 3 bytes @neauoire

        @str/<print>/>loop ( str* x -- str* )
            #18 DEO
            INC2
            ( >> )
        @str/<print> ( str* -- )
            LDAk DUP ?/<print>/>loop POP
            POP2 JMP2r
        

        trick is to remove the immediate jump back, and reuse the lambda instead
        though this means that some of the loop body goes before the routine address
        but this is only a problem if you're falling through directly


        #uxn #uxntal #18

          [?]TangentDelta » 🌐
          @TangentDelta@mastodon.social

          Cucumber now supports ANSI character attributes for color, inversion, and bold!
          github.com/TangentDelta/cardpu

            [?]notchoc » 🌐
            @notchoc@app.wafrn.net

            @neauoire@merveilles.town

            heyo @neauoire, what's your opinion on stateful ports?

            e.g. I want to connect to an address, I set the action port to connect mode by writing action/Connect, then I write in the address string until the null byte

            I understand that this is opposed to the file device which does this by writing a pointer* to the filename in memory and then an operation on another port, is that the preferred way? (if so, why?)


            #uxn #varvara

              [?]Anthk » 🌐
              @anthk@neopaquita.es

              I added a simple flag for (uxn2) so upon pressing
              'F6' it toggles an 'ergonomic' mode to set the ctrl-alt
              keys and so on to esdf j, k mimicking a right handed
              gmaepad. Good for games.

                [?]xaxalxe lucía 6lex ange [she/her&they/them] » 🌐
                @xaxalxe@sunny.garden

                more ft88 fonts for

                  [?]ليلى النحلة [bee/they] » 🌐
                  @lunabee@cathode.church

                  ahahahahahahahaha okay I'm going to a music event on the morrow so I've been ambiently updating my hit accordion synth implemented in , accordion.fucker

                  and this thing is a fucking PROPER SYNTH now like hoooooly shit

                  existing features:
                  * modal
                  * interprets a computer keyboard as an accordion keyboard, cause they're the same fuckin shape
                  * customizable keyboard layouts
                  * monophonic melody mode
                  * tetraphonic melody mode
                  * stradella bass mode
                  * macro mode to record a bit played on stradella bass mode and loop it
                  * 8 different waveforms! (sine, square, saw, triangle, pulse, smw brass, smw jazz guitar, and accordion.fucker (noise but with a twist))
                  * full access to varvara's adsr functionality
                  * keypress highlights on a cool looking on-screen ui
                  * customizable presets!

                  but NOW we also have:
                  * arpeggiated stradella bass and macro modes!
                  * three provided presets in addition to the default
                  * on-screen note highlights to indicate where C is in melodic modes and where C and E are in stradella/macro modes
                  * actually good documentation!
                  * shiftable octaves in macro mode!

                    notchoc boosted

                    [?]Chloe :> [she/they] » 🌐
                    @angelwood@merveilles.town

                    After 3 Daftpunk albums I've finally gotten circular frame buffers working in for the pebble without trig/luts!! Data for the corners of the screen that don't exist are no-longer being stored/calculated, so around 2kb of ram is saved!

                    The one sad thing is the core I had 80% finished is no longer needed as freeing the frame buffer gave me enough space to fit the usual uxn2 core :/

                    Updates will be pushed soon to both the Rebble and Repebble store with the new framebuffer driver for the chalk/gabbro platforms ^__^

                    Neralie is now on the brandnew Pebble Round 2 and looking glourious!

                    Alt...Neralie is now on the brandnew Pebble Round 2 and looking glourious!

                    A photo of Chalk and Gabbro being next to eachother, they are both circular

                    Alt...A photo of Chalk and Gabbro being next to eachother, they are both circular

                      [?]notchoc » 🌐
                      @notchoc@app.wafrn.net

                      big plans this weekend ^^

                      gonna be making a multiplayer game in uxntal…

                      then I can finally share my network device to the mailing list :D

                      gimmie game ideas! preferably with synchronous & lossy networking (e.g. pong), because I wanna test UDP mode!


                      #uxn #uxntal #gamedev #netcode

                        [?]R.L. Dane :Debian: :OpenBSD: :FreeBSD: 🍵 :MiraLovesYou: [he/him/my good fellow] » 🌐
                        @rl_dane@polymaths.social

                        @moses_izumi @OpenComputeDesign

                        #uxn would be a trip ;)

                        But yeah, the recommendation of Lua with something like Löve2D would probably be a great starting place.

                          [?]TangentDelta » 🌐
                          @TangentDelta@mastodon.social

                          I can now assemble Uxntal programs natively on Cucumber!
                          github.com/TangentDelta/cardpu

                          Assembling and running tic-tac-toe on the M5Stack Cardputer

                          Alt...Assembling and running tic-tac-toe on the M5Stack Cardputer

                            [?]Devine Lu Linvega » 🌐
                            @neauoire@merveilles.town

                            Hopefully srht gets back up shortly. But in the meantime, if you're looking for something from ~rabbits, I keep bleeding edge copies of near every source files:
                            wiki.xxiivv.com/etc/

                              Haven Prism boosted

                              [?]∴ esoterik ∴ [he/him/etc] » 🌐
                              @d6@merveilles.town

                              created a text-based wordle clone for called "rewold"

                              git.phial.org/d6/rewold

                              playable in any terminal, and hopefully on the cardputer soon thanks to @TangentDelta

                              screenshot of a terminal running a wodle-like game. the game shows a series of guesses along with which letters match which culminates in "tweed". the terminal background is a cloudy night sky

                              Alt...screenshot of a terminal running a wodle-like game. the game shows a series of guesses along with which letters match which culminates in "tweed". the terminal background is a cloudy night sky

                                [?]notchoc » 🌐
                                @notchoc@app.wafrn.net

                                I wrote a gopher web server in uxntal!
                                (disclaimer: run at your own risk, see below)

                                introducing… gopher-serv.tal :D

                                it's the bare minimum: no automatic directory listings, no error pages, and sandboxing is enforced by the emulator(!!)

                                but what it does have, is 201 bytes of gopher-serving goodness :D

                                src: https://codeberg.org/notchoc/gopher-serv.tal
                                emu: https://codeberg.org/notchoc/uxn2
                                run: uxn2 -N gopher-serv.rom ADDRESS

                                !!! DISCLAIMER: DO NOT EXPOSE THIS TO THE INTERNET !!! UXN2 DOES NOT HAVE SANDBOXING (YET) AND ALSO I DO NOT MAKE ANY GUARANTEES ABOUT SECURITY


                                #uxn #uxntal #gopher

                                my gopher client viewing the uxntal source code of this gopher server

                                Alt...my gopher client viewing the uxntal source code of this gopher server

                                  [?]∴ esoterik ∴ [he/him/etc] » 🌐
                                  @d6@merveilles.town

                                  uxn tools [SENSITIVE CONTENT]

                                  took a small detour to implement a streaming encoder/decoder for ULZ for the ecosystem.

                                  git.phial.org/d6/ulz2

                                  it's a small spec but as usual it took awhile to shake out the bugs (including building a test framework and generative tester).

                                    [?]notchoc » 🌐
                                    @notchoc@app.wafrn.net

                                    long code snippet, not friendly for screen readers [SENSITIVE CONTENT]

                                    implementing OOP inheritance in uxntal… has science gone too far?

                                    (
                                    @|Entity
                                     base physical object
                                    )
                                    
                                    @entity/__def__
                                     %Entity/pos% {
                                      &pos/x* $2 &pos/y* $2
                                     }
                                     %Entity/vel% {
                                      &vel/x* $2 &vel/y* $2
                                     }
                                     %Entity/def% {
                                      Entity/pos%
                                      Entity/vel%
                                     }
                                     %Entity/methods% {
                                      |Entity/pos/get &pos/get
                                      |Entity/vel/get &vel/get
                                     }
                                    |0
                                     /def% &def/__size__
                                     |10 &__size__
                                    |/__def__
                                    
                                    &pos/get ( <@>* -- x* y* )
                                     LDA2k SWP2 INC2 INC2 LDA2 JMP2r
                                    
                                    &vel/get ( <@>* -- xv* yv* )
                                     INC2 INC2 LDA2k SWP2 INC2 INC2 LDA2 JMP2r
                                    
                                    (
                                    @|Critter
                                     controllable entity
                                    )
                                    
                                    @critter/__def__
                                     %Critter/def% {
                                      Entity/def%
                                      &buttons $1
                                      &health $1
                                      &state $1
                                      &target $2
                                     }
                                     %Critter/methods% {
                                      Entity/methods%
                                      |Critter/buttons/get &buttons/get
                                      |Critter/health/get &health/get
                                      |Critter/state/get &state/get
                                      |Critter/target/get &target/get
                                     }
                                     Entity/methods%
                                    |0
                                     /def% &def/__size__
                                    |/__def__
                                    
                                    &buttons/get ( <@>* -- buttons )
                                     ;/buttons ADD2 LDA JMP2r
                                    &health/get ( <@>* -- health )
                                     ;/health ADD2 LDA JMP2r
                                    &state/get ( <@>* -- state )
                                     ;/state ADD2 LDA JMP2r
                                    &target/get ( <@>* -- target* )
                                     ;/target ADD2 LDA2 JMP2r
                                    
                                    (
                                    @|Player
                                     kijetesantakalu
                                    )
                                    
                                    @player/__def__
                                     %Player/def% {
                                      Critter/def%
                                     }
                                     Critter/methods%
                                    |0
                                     /def%
                                    |/__def__
                                    
                                    @player/draw ( <@>* -- )
                                     /pos/get #41 ;Entity/kijetesantakalu.icn !Screen/draw-sprite
                                    

                                    #uxn #uxntal #41

                                      [?]jn (big endian energy) » 🌐
                                      @jn@boopsnoot.de

                                      the urge to built an fpga-based uxn implementation...

                                      i scribbled up some notes and invented a supervisor mode extension, which should help with two things: 1. hiding implementation details (MMIO devices, filesystem) from user-mode ROMs, while still writing those drivers in code; 2. multi-tasking between uxn instances

                                        roman boosted

                                        [?]TangentDelta » 🌐
                                        @TangentDelta@mastodon.social

                                        After fixing a silly mistake with cat.tal, I can now read files and output their contents to stdio!

                                        Running the command `cat /test.txt` and seeing "Hello, World!" on a console. Running another command `cat /test.txt | upper` and seeing "HELLO, WORLD!" on a console.

                                        Alt...Running the command `cat /test.txt` and seeing "Hello, World!" on a console. Running another command `cat /test.txt | upper` and seeing "HELLO, WORLD!" on a console.

                                          [?]Devine Lu Linvega » 🌐
                                          @neauoire@merveilles.town

                                          Implemented mandelbrot based on the implementations on rosettacode thinking it might be a good way to benchmark on the m5, but it turned out almost too fast to be practical.
                                          git.sr.ht/~rabbits/uxn-utils/t

                                          A pretty fractal

                                          Alt...A pretty fractal

                                            [?]notchoc » 🌐
                                            @notchoc@app.wafrn.net

                                            y'all can try it here :D
                                            https://codeberg.org/notchoc/kon/raw/branch/main/bin/kon.rom

                                            please let me know if y'all have performance issues! it's kinda laggy on my decade-old laptop…


                                            #uxn

                                              [?]notchoc » 🌐
                                              @notchoc@app.wafrn.net

                                              open-world^ scrolling sandbox! it's starting to feel like noita :D

                                              ^: 1024x1024 particles to be exact, but surely that should be big enough..?

                                              P.S. the "worldgen" is actually taken from Worley.jpg! https://en.wikipedia.org/wiki/Worley_noise#/media/File:Worley.jpg


                                              #uxn #uxntal #gamedev

                                              Alt...showcase of my sandbox game, with three materials: water, sand, and rock! I'm scrolling around and trying to draw smiley faces on the rock, while the water and sand particles are doing their own thing. sometimes when i move up there's suddenly a bunch of stuff that falls out of nowhere, that's because it's loading in a new chunk and the stuff realises there's nothing below it, so it just falls and makes the showcase look bad >:( but regardless! you can still feel the noita vibes!

                                                [?]∴ esoterik ∴ [he/him/etc] » 🌐
                                                @d6@merveilles.town

                                                @durian nice! i wrote a similar program but one that forces you to use teal dice: git.phial.org/d6/weredice

                                                  roman boosted

                                                  [?]Ƶ̗̥̎ POP2kr » 🌐
                                                  @snufkin_vc@mastodon.social

                                                  @TangentDelta at Discord has UF running on the cardputer using

                                                  github.com/TangentDelta/cardpu

                                                  gitlab.com/b2495/uf

                                                  uf forth running on a m5 cardputer by TangentDelta

                                                  Alt...uf forth running on a m5 cardputer by TangentDelta

                                                    roman boosted

                                                    [?]bogdanov » 🌐
                                                    @bogdan_ov@mastodon.social

                                                    LCD output with and !!

                                                    Communication with the display happens on the UXN side, i ported a LCD library to UXNSMAL using only Wire.h arduino library.

                                                    github.com/bbogdan-ov/arduino-

                                                    LCD display that says "hey 123"

                                                    Alt...LCD display that says "hey 123"

                                                      [?]∴ esoterik ∴ [he/him/etc] » 🌐
                                                      @d6@merveilles.town

                                                      @dpiponi @edwinb it's not exactly the same but for the last few years i've really enjoyed working within the ecosystem [1] for similar reasons.

                                                      a stack machine with 64k of memory is powerful enough to do interesting things but with real constraints. (it's also nice that it can easily run on modern hardware, game systems, web browsers, and even some "retro" systems)

                                                      [1] git.sr.ht/~rabbits/uxn

                                                        Chloe :> boosted

                                                        [?]notchoc » 🌐
                                                        @notchoc@app.wafrn.net

                                                        @angelwood@merveilles.town

                                                        finally got around to making my uxn contact card! thanks to @angelwood for the idea and inspiration ^^

                                                        source: https://codeberg.org/notchoc/card.tal
                                                        rom: https://codeberg.org/notchoc/card.tal/raw/branch/main/card.rom

                                                        hint: try running it and clicking anywhere :>


                                                        #uxn #uxntal

                                                        my contact card!

notchoc (they/them)
notchoc.codeberg.page
notchoc@app.wafrn.net

                                                        Alt...my contact card! notchoc (they/them) notchoc.codeberg.page notchoc@app.wafrn.net

                                                          Chloe :> boosted

                                                          [?]Chloe :> [she/they] » 🌐
                                                          @angelwood@merveilles.town

                                                          angelwood.xyz/blog/bcards-are-

                                                          Every month of so I see someone new online has created there own card and It always feels so surreal that people are still interested in a idea i had almost 9~ months ago! (I must have seen atleast more then a dozen and half of them by now)

                                                          So I've finally dusted off the my old card and finally decided to update my old card to match the new aesthetic of my website ^__^

                                                          EDIT:
                                                          If you have your own and want to be added to the little collection on my blogpost dont be afraid to ask! (I have a bunch already downloaded but don't want to add them without express permission)

                                                          Chloe Greene
(She/They)
angelwood.xyz
Email : angel@angelwood.xyz

                                                          Alt...Chloe Greene (She/They) angelwood.xyz Email : angel@angelwood.xyz

                                                            alanxoc3 boosted

                                                            [?]Devine Lu Linvega » 🌐
                                                            @neauoire@merveilles.town

                                                            Build once run
                                                            Everwhere™

                                                            Alt...Donsol on the playdate It's almost perfect, the cursor is missing its outline for some reason

                                                              [?]∴ esoterik ∴ [he/him/etc] » 🌐
                                                              @d6@merveilles.town

                                                              @pat there’s no shame in writing out the annotations! i still do this for after years of writing it. one bonus is that it’s great documentation if i find a bug months/years later

                                                                [?]Chloe :> [she/they] » 🌐
                                                                @angelwood@merveilles.town

                                                                When i started writing I always thought only having 4 colours was going to be a serious limitation, but with a careful colour palette and some creativity I have always been just fine with only 4 colours.

                                                                Here is the celeste spritesheet in uxn form ^__^ (There is no easy way to extract assets from a Pico-8 game so I had to redraw them all)

                                                                A version of the Spritesheet for the celeste uxn demake

                                                                Alt...A version of the Spritesheet for the celeste uxn demake

                                                                  [?]notchoc » 🌐
                                                                  @notchoc@app.wafrn.net

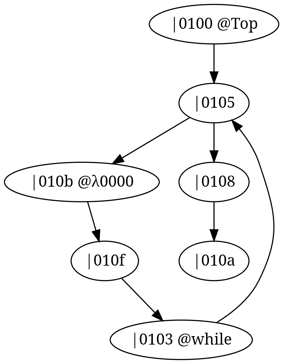
                                                                  callgraphs for… uxn??

                                                                  digraph "hello.rom" {
                                                                  "|0100 @top" -> "|0105";
                                                                  "|0105" -> "|010b @λ0000";
                                                                  "|010b @λ0000" -> "|010f";
                                                                  "|010f" -> "|0103 @while";
                                                                  "|0103 @while" -> "|0105";
                                                                  "|0105" -> "|0108";
                                                                  "|0108" -> "|010a";
                                                                  }
                                                                  

                                                                  #uxn

                                                                  a callgraph of the uxn "hello world" example, which loops and then breaks

                                                                  Alt...a callgraph of the uxn "hello world" example, which loops and then breaks

                                                                    [?]notchoc » 🌐
                                                                    @notchoc@app.wafrn.net

                                                                    ( 76543210 fedcba98 -- _____0__ _fe76dcb a9854321 ) sure be doin my head in

                                                                    probably shouldn't be writing a bit-twiddling optimizer for just 39 bytes of opcode…


                                                                    #uxn #uxntal

                                                                      [?]notchoc » 🌐
                                                                      @notchoc@app.wafrn.net

                                                                      implemented multiple materials :)

                                                                      next step will be liquids and solids!


                                                                      #uxn #falling-sand

                                                                      Alt...my sand simulator! there's three types of material that settle into their own layers, also it looks less janky than before thanks to running both Margolus steps in the same tick

                                                                        [?]notchoc » 🌐
                                                                        @notchoc@app.wafrn.net

                                                                        starting on the noita demake with falling sand :D


                                                                        #uxn #uxntal #falling-sand

                                                                        Alt...simple falling sand simulator! it's non-directional thanks to the Margolus neighbourhood, but that's also what makes the sand look funny when falling...

                                                                          [?]Chloe :> [she/they] » 🌐
                                                                          @angelwood@merveilles.town

                                                                          Added partial e-ink screenupdates support to my fork of uxn-lfb so animations work now!!

                                                                          Alt...A video of the donsol intro animation where a bunch or circles assemble into the rabbits logo

                                                                            [?]Chloe :> [she/they] » 🌐
                                                                            @angelwood@merveilles.town

                                                                            @d6 uxn-lfb running on a kobo!!!!

                                                                            A photo of my e-reader, a uxn window has been superimposed ontop of it

                                                                            Alt...A photo of my e-reader, a uxn window has been superimposed ontop of it

                                                                              [?]Chloe :> [she/they] » 🌐
                                                                              @angelwood@merveilles.town

                                                                              Day 3 of the March

                                                                              I finished 2 smol uxn-related projects this morning and I'm proud of how both came out ^_^

                                                                              For all you kakoune users I have a treat for you, I implimented uxntal syntax as highlighters! There was a few pre-existing uxntal implimentations for kakoune but I felt they were either over complicated or were not fully complient. You can download the current config from my dotfiles repo: git.sr.ht/~angelwood/dotfiles/

                                                                              Another project I have finished is nds-bundler, It can take any .rom and compile it into a standalone .nds file! The best part is you don't even need a full SDK installed to use it, only ndstool is required to assemble all the peices together. The game info/icon are also sourced from the rom, so it needs no manual intervention! You can find it on my personal fork of uxnds (Thank you @asie for the base implimentation)

                                                                              angelwood.xyz/wiki/decadv/#mar

                                                                              A photo of my DSI displaying Oquonie as a playable game. Made by Hundred Rabbits

                                                                              Alt...A photo of my DSI displaying Oquonie as a playable game. Made by Hundred Rabbits

                                                                                roman boosted

                                                                                [?]Devine Lu Linvega » 🌐
                                                                                @neauoire@merveilles.town

                                                                                Need on the m5 stack?
                                                                                git.sr.ht/~rabbits/uxn-m5

                                                                                Alt...The DVD bounce example running on the m5 stick c plus.

                                                                                  roman boosted

                                                                                  [?]Oct » 🌐
                                                                                  @oct@social.lol

                                                                                  More tests for my renderer (added one test case in 20 minutes, I'm slowly making my way in !)

                                                                                  three (passing) greens tests in a terminal capture. Running the uxn virtual machine

                                                                                  Alt...three (passing) greens tests in a terminal capture. Running the uxn virtual machine

                                                                                    roman boosted

                                                                                    [?]Devine Lu Linvega » 🌐
                                                                                    @neauoire@merveilles.town

                                                                                    Like XEyes but for .
                                                                                    github.com/bbogdan-ov/uxneyes.

                                                                                    Alt...The eyes are following the cursor

                                                                                      R E K boosted

                                                                                      [?]tbsp [he/him] » 🌐
                                                                                      @tbsp@merveilles.town

                                                                                      Polycat runs wonderfully on this 2009 EeePC under HaikuOS!

                                                                                      A cute cartoon cat with a single large eyeball standing on old looking pixelated platforms, inside a HaikuOS desktop

                                                                                      Alt...A cute cartoon cat with a single large eyeball standing on old looking pixelated platforms, inside a HaikuOS desktop

                                                                                        roman boosted

                                                                                        [?]Devine Lu Linvega » 🌐
                                                                                        @neauoire@merveilles.town

                                                                                        EVERYTHING’S GOING TO BE OK
                                                                                        Implementing a tiny virtual machine, assembler, and compiler

                                                                                        The thesis of Tre O’Neal
                                                                                        digitalcommons.ncf.edu/cgi/vie

                                                                                        Finally, and arguably most importantly, this project reflects an interest in creativity
and independence in computing. Building an entire software ecosystem, from a low-
level virtual machine to an assembler and compiler – can be both educational and
empowering. I bring up a lot of the reasons behind why I took specific approaches
while creating the software for this thesis, but by far the most important aspect was
that I was having fun – it is entertaining to make things, whether they are software
or other creative activities like writing or painting or music – and by the end of it,
you have a cool project that you created entirely by yourself, that is just as fun to
play around with as it was to make

                                                                                        Alt...Finally, and arguably most importantly, this project reflects an interest in creativity and independence in computing. Building an entire software ecosystem, from a low- level virtual machine to an assembler and compiler – can be both educational and empowering. I bring up a lot of the reasons behind why I took specific approaches while creating the software for this thesis, but by far the most important aspect was that I was having fun – it is entertaining to make things, whether they are software or other creative activities like writing or painting or music – and by the end of it, you have a cool project that you created entirely by yourself, that is just as fun to play around with as it was to make

                                                                                          1 ★ 0 ↺

                                                                                          [?]roman » 🌐
                                                                                          @hi@romanzolotarev.com

                                                                                          thank you for the gopher browser ❤️

                                                                                          when i run gopher.rom on macos, i can't get any responses...

                                                                                          is that expected? seems some network issues.

                                                                                          i'm new to uxn. could you please help to debug it?

                                                                                          $ cd gopher.tal
                                                                                          $ git reflog
                                                                                          a9188d4 (HEAD -> main, origin/main, origin/HEAD) HEAD@{0}: clone: from https://codeberg.org/notchoc/gopher.tal.git
                                                                                          $ uxn2 drifblim.rom main.tal gopher.rom
                                                                                          $ uxn2 gopher.rom
                                                                                          gopher.floodgap.com
                                                                                          ^C
                                                                                          $
                                                                                          other gopher browsers work ok, i mean non uxn.


                                                                                            1 ★ 0 ↺

                                                                                            [?]roman » 🌐
                                                                                            @hi@romanzolotarev.com

                                                                                            tried on the same apple m1, but via sdl2: 58-60 fps (yay!) and freezes when hits the same ceiling.

                                                                                            now we can confirms all 8,000 bunnies can fit inside a single vm.

                                                                                            p.s. in the background, ps -o %cpu,rss runs in a loop

                                                                                              4 ★ 0 ↺

                                                                                              [?]roman » 🌐
                                                                                              @hi@romanzolotarev.com

                                                                                              tried to run bunnymark on in a browser on apple m1. it's running at 26-30 fps till it freezes at around 8000 bunnies. hitting memory limit?

                                                                                              uxn feels like a solid platform,..

                                                                                              ...but is it technically possible to port vi to uxn? :)

                                                                                                12 ★ 2 ↺

                                                                                                [?]roman » 🌐
                                                                                                @hi@romanzolotarev.com

                                                                                                10 ★ 2 ↺

                                                                                                [?]roman » 🌐
                                                                                                @hi@romanzolotarev.com

                                                                                                see also
                                                                                                some games
                                                                                                and an operating system

                                                                                                  5 ★ 0 ↺

                                                                                                  [?]roman » 🌐
                                                                                                  @hi@romanzolotarev.com

                                                                                                  as a hardcore vi/neovim user i don't see myself switching to any other editor, but left looks awesome


                                                                                                    9 ★ 0 ↺

                                                                                                    [?]roman » 🌐
                                                                                                    @hi@romanzolotarev.com

                                                                                                    roman boosted

                                                                                                    [?]notchoc » 🌐
                                                                                                    @notchoc@app.wafrn.net

                                                                                                    I've been working on a little something for the past few days, and it's finally usable :D

                                                                                                    ![media-1]

                                                                                                    introducing…. gopher.tal!
                                                                                                    https://codeberg.org/notchoc/gopher.tal
                                                                                                    it's a lightweight (~3.2kb) gopher client that tries to be as unsurprising as possible

                                                                                                    features:

                                                                                                    • clickable and tab-focusable links
                                                                                                    • keyboard scroll and screen resize
                                                                                                    • support for gopher-search
                                                                                                    • special port numbers (still gotta speak gopher)

                                                                                                    would you be better off using w3m/bopher? probably

                                                                                                    is this still a web browser written in assembly? hell yeah!


                                                                                                    #gopher #uxn #uxntal #uxn-networking

                                                                                                    Alt...showcase of my gopher.tal client browsing through gopher.floodgap.com and gopherpedia... it's still a little buggy but it's trying its best!